티스토리 뷰
반응형
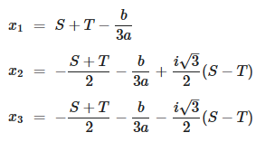
다음과 같은 삼차 방정식

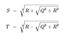
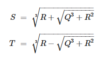
의 해는 다음과 같다.

여기서,

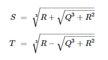
여기서,

단,

D > 0, 실수 해 1개, 복소수 해 2개
D = 0, 모두 실수 해이며, 최소 2개는 값이 같음
D < 0, 모두 값이 다른 실수 해
참고자료
반응형
'Algorithm' 카테고리의 다른 글
| 다각형 면적, 무게중심, 단면2차모멘트 계산 알고리즘 (0) | 2021.11.28 |
|---|---|
| 역행렬 (가우스 소거법) (0) | 2021.05.12 |
| 2X2 3X3 역행렬 JAVACRIPT / EXCEL VBA (0) | 2021.05.12 |
댓글