티스토리 뷰
반응형
좌굴현상과 P-Delta 효과가 유사한 듯 닮은 거 같아 며칠동안 자료를 찾아서 검토해 본 결과 내린 결론은 다음과 같다.
- 좌굴현상과 P-Delta 효과는 근본적으로 같은 현상을 말하고 있다.
- 좌굴은 부재의 파괴강도에 초점을 맞추고 있고, P-Delta 효과는 부재력이 증가되는 것을 말하고 있다.
그럼 각각의 현상의 이론적인 배경을 살펴보고, 다시 의미를 생각해보자
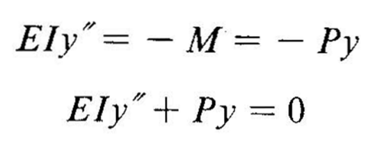
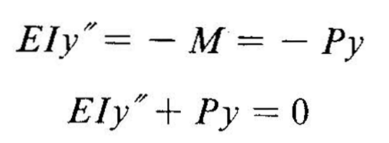
좌굴(Buckling)
- 좌굴이란 축방향 압축력 P에의해 기둥이 안정을 잃고 커다란 굽힘변형이 생기는 현상을 말함
- 좌굴 해석은 좌굴을 일으키는 최소의 압축력, 즉 임게하중을 구하는 것.
- 좌굴이 횡변위를 유발하면서 발생하는 것이지만, 발생된 횡변위의 크기는 중요하지 않음.


P-Delta 효과
- P-Delta 효과는 축력을 받는 기둥에서 횡변위로 인해 추가적인(2차적인, Second-Order) 모멘트가 발생하는 효과를 말함
- P-Delta 효과를 고려하지 않을 경우, 아래 구조물에서 기둥 하단의 모멘트는 Vb*L
- P-Delta 효과 고려시에는 Vb로 인해 발생한 수평변위 Δ로 인해, P*Δ 만큼의 모멘트가 추가됨
- P*Δ 만큼 추가된 모멘트로 인해 Δ1만큼의 추가 횡변위가 발생함
- Δ1만큼의 추가 횡변위로 인해 P*Δ1만큼의 추가 모멘트가 발생함
- P*Δ1 만큼 추가된 모멘트로 인해 Δ2만큼의 추가 횡변위가 발생함
- 이때, 추가되는 횡변위 Δn 은 점점 작아지면서 0으로 수렴하게 된다.
- 따라서, 확대된 최종 모멘트와 수평 변위는 중간 과정에서 산정된 모멘트와 변위를 합산하여 구할 수 있다.



반응형
'구조 설계 및 시방서 > 재료구조역학' 카테고리의 다른 글
| 도심 무게중심 중립축 차이 (0) | 2023.09.15 |
|---|---|
| Plain Strain / Plain Stress (0) | 2021.05.22 |
| 뒤틀림(Distortion), 뒴(Warping) (0) | 2020.02.05 |
댓글