티스토리 뷰
내진해석에서 자주 나오는 "모드 참여 계수"와 "질량 참여율"에 대한 개념을 정리하여 보았다.
운동 방정식
먼저, 지진력을 받는 구조계의 운동 방정식은 아래와 같다.

위 식에서, Xg의 2차 미분항은 지진에 의한 지반가속도이다.
변위 X를 아래와 같이 변환하여, 운동방정식에 대입하면,

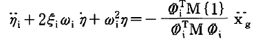
아래와 같이 나타낼 수 있다.


여기서, Φi, ηi 는 각각 i 번째 모드 벡터와 모드를 나타낸다. 위 식에서 모드 기여 계수 (Modal Participation Factor)는 아래 와 같이 정의된다.

모드 기여 계수 및 질량 참여율
위 식이 의미하는 바를 고민한 끝에, 모드 기여 계수와 질량 참여율의 의미는 다음과 같지 않을까 하고 결론내렸다.
예를 들어, 지진력 Xg 가 가해지는 캔틸레버 기둥이 있다고 가정하고,
이 캔틸레버 기둥의 모드 해석을 하면, 아래와 같이 여러개의 모드 벡터를 얻을 수 있다.
아래 그림과 같이, 지진력이 가해 질 때 구조물의 거동은 아래 여러가지 모드 들에 각각 가중치를 곱한 값의 합으로 근사화 할 수 있다. 따라서, 각각의 모드에 적절한 가중치를 곱해줘야 하는데, 이것이 뜻하는 바가 모드 기여 계수 (Modal Participation Factor)가 된다.
다른 각도로 생각해보면, 모드 기여 계수가 가장 큰 벡터는 그 지진력이 작용할 때 구조물의 거동을 대표하는 주요 거동형상을 의미한다.


또한, 각각의 모드 기여 계수들을 합한 값은 질량참여율(Mass Particiption Ratio)이라고 하며, 질량참여유을 전체 질량에 대한 모드별 유효질량의 합과 같다. 일반적으로 질량참여율이 90% 이상이 되어야 대부분의 모드가 고려된 유효한 해석 결과로 판단되어 진다.
다른 교량에서의 모드 해석 결과 예



'구조 설계 및 시방서 > 내진' 카테고리의 다른 글
| 신뢰도 지수, Reliability Index (0) | 2024.10.06 |
|---|---|
| 500년 475년 지진 재현주기, 50년 이내 초과확률 10% (0) | 2024.10.01 |
| 수직(높이) 방향 지진력을 설계에 고려하지 않는 이유 (0) | 2023.11.19 |
| 내진설계해석방법 단일모드 다중모드 해석법 개념 정리 (0) | 2023.11.11 |
| 내진설계기준 기본개념 (0) | 2022.07.13 |