티스토리 뷰
반응형
전단파괴형태
전단지간에 따른 전단파괴형태는 다음과 같다.

1) 깊은보 (Deep Beam)

2) 전단압축 / 인장 파괴

3) 사인장 균열 파괴

4) 휨인장 파괴

전단보강된 보의 전단거동

1) 사인장 균열 발생 전
- 균열 발생 전으로, 콘크리트와 동일하게 거동하므로 철근에 의한 보강효과는 나타나지 않음
2) 사인장 균열 발생 후
- 전단철근에 변형 발생하여 철근에 의한 보강수직효과 발생
- 전단 스터럽 철근에는수직 인장력이 발생
- 이 때, 인장측의 종방향 철근에 전단철근의 수직 인장력에 대응하는 수평력이 발생
- 종방향에 적정한 인장재가 배치되어 있어야 함.

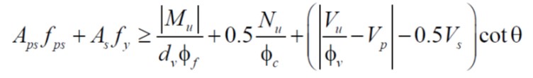
전단에 대한 종방향 인장재 설계 기준
1) AASHTO LRFD Bridge design, 2017, 8th Edition - 5.7.3.5 참조

2) BS 5400-4 1990 6.3.4.4

3) EN 1992-2:2005 6.2.3 (107)

4) 도로교 설계기준 2016, 5.7.2.3 (7)

“파트너스 활동을 통해 일정액의 수수료를 제공받을 수 있음"
반응형
'구조 설계 및 시방서 > 철근콘크리트' 카테고리의 다른 글
| 복철근보 압축철근 효과 (0) | 2022.07.11 |
|---|---|
| 강봉, 철근의 전단강도 (0) | 2022.04.05 |
| 단철근보 휨강도 산정 (1) | 2021.05.15 |
| 휨인장/압축/전단 최소 및 최대 철근비 (0) | 2018.06.14 |
| 전단설계 압축장 수정압축장 이론 (0) | 2018.06.08 |
댓글