티스토리 뷰
반응형
콘크리트 구조기준, 2012에 근거한 철근콘크리트 휨강도 산정
이론적 내용
1. 콘크리트 압축연단의 극한 변형율, 0.003 [ 콘크리트 구조기준, 6.2.1-(3) ]

2. 등가응력사각형 깊이 계수, [ 콘크리트 구조기준, 6.2.1-(7) ]

3. 강도감소계수,

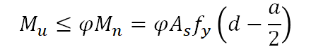
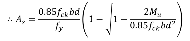
4. 단면 휨강도 및 필요철근량 산정




5. 휨부재의 최소철근량 [ 콘크리트 구조기준, 6.3.2 ]
1) 계산식


2) 부재의 모든 단면에서 해석에 의해 필요한 철근량보다 1/3이상 인장철근이 배치된 경우,
최소 철근량 규정을 적용하지 않을 수 있다.
6. 휨부재의 최대철근량 [ 콘크리트 구조기준, 6.2.2-(5) ]
1) 공칭강도 상태에서 휨부재의 순인장변형률이 최소 허용 변형률 이상이 되어야 함
2) 휨부재의 최소 허용변형률은 철근의 항복강도가 400 MPa 이하인 경우에는 0.004
3) 400 MPa를 초과하는 경우에 는 항복변형률의 2배로 한다
“파트너스 활동을 통해 일정액의 수수료를 제공받을 수 있음"
반응형
'구조 설계 및 시방서 > 철근콘크리트' 카테고리의 다른 글
| 복철근보 압축철근 효과 (0) | 2022.07.11 |
|---|---|
| 강봉, 철근의 전단강도 (0) | 2022.04.05 |
| 전단설계시 종방향 전단 철근 (0) | 2019.08.30 |
| 휨인장/압축/전단 최소 및 최대 철근비 (0) | 2018.06.14 |
| 전단설계 압축장 수정압축장 이론 (0) | 2018.06.08 |
댓글