티스토리 뷰
반응형
핵심
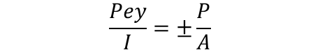
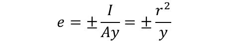
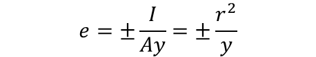
프리스트레스 힘만 작용할 경우, 단면에 인장응력을 발생시키지 않는 편심의 한계




압력선
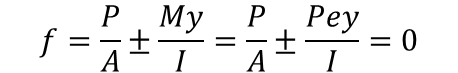
PSC보의 경우, 외력에 의한 휨모멘트가 증가할 때 모멘트의 팔길이 a가 변화할 뿐, 압축력 및 인장력의 합력은 변화하지 않는다. 이는 외부하중이 증가하더라도 초기에 도입된 프리트스트레스힘이 크기 변화가 무시할 수 있을 정도록 작다는 의미이다. 여기서 압축력의 합력이 작용하는 점을 연결한 선을 압력선.

압력선의 위치와 콘크리트 응력 분포

“파트너스 활동을 통해 일정액의 수수료를 제공받을 수 있음"
반응형
'구조 설계 및 시방서 > 프리스트레스트콘크리트' 카테고리의 다른 글
| 프리스트레스 도입시 콘크리트 최소 강도 (0) | 2025.09.05 |
|---|---|
| 강연선 및 강봉의 최대 인장력 제한 (0) | 2022.07.11 |
| 강연선 신장량 오차 (0) | 2021.11.24 |
| 프리스트레스 전달길이(Transfer) 정착길이(Development) (0) | 2021.05.25 |
| PS 강재 지연파괴 / 응력부식 (0) | 2021.05.24 |
댓글