티스토리 뷰
반응형
개요
프리텐션 부재에서는 긴장재와 콘크리트 사이의 부착에 의하여 프리스트레스가 도입된다.
프리텐션 부재의 경우 정착단이 존재하지 않기 때문에 부재단에 가까운 PS 긴장재는 어느 길이만큼 미끄러져 들어간 후에 정착된다.
프리스트레스 전달길이 (Transfer Length)
- 프리텐션 부재에서 Transfer Length는 강선의 끝에서 유효프리스트레스(fpe)가 도입된 곳까지의 길이
- 프리텐션을 도입하고 콘크리트 경화 후 강선을 Cutting하면, 강선에 도입된 프리스트레스 힘은 부착을 통해 주변 콘크리트로 전달된다.

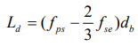
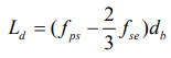
프리스트레스 정착길이(Development Length)
- 강선의 설계강도(fps)에 도달할때까지 필요한 매입길이


반응형
'구조 설계 및 시방서 > 프리스트레스트콘크리트' 카테고리의 다른 글
| 프리스트레스 도입시 콘크리트 최소 강도 (0) | 2025.09.05 |
|---|---|
| 강연선 및 강봉의 최대 인장력 제한 (0) | 2022.07.11 |
| 강연선 신장량 오차 (0) | 2021.11.24 |
| PS 강재 지연파괴 / 응력부식 (0) | 2021.05.24 |
| 압력선 핵심 (0) | 2021.05.17 |
댓글